Skip To Main Content
Account
Settings
Logout
placeholder
Account
Settings
Logout
Filter:
All Files
Submit Search
You are here:
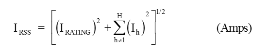
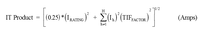
Branch Currents
Branch currents results consist of
I
THD
,
I
RSS
, and
IT Product. The calculations are:
More Information
Harmonics
Tutorial - Harmonics Analysis