PSS Models
Power system stabilizer models are entered in the Stability 2 tab of Generator Data dialog box.
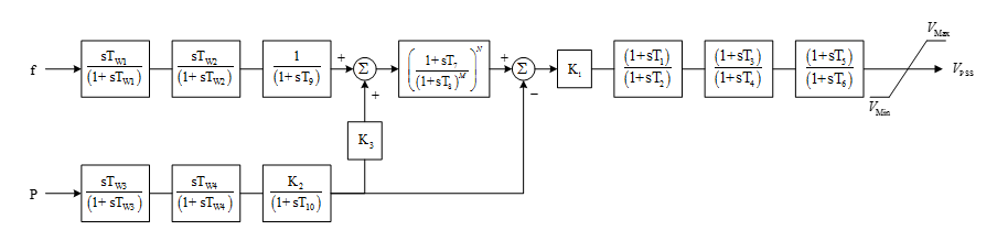
IEEE PSS2B
Figure 1: IEEE Type PSS2B Model Block Diagram
|
Parameter |
Units |
Description |
|---|---|---|
|
T1 |
Seconds |
1st lead time constant |
|
T2 |
Seconds |
1st lag time constant |
|
T3 |
Seconds |
2nd lead time constant |
|
T4 |
Seconds |
2nd lag time constant |
|
T5 |
Seconds |
3rd lead time constant |
|
T6 |
Seconds |
3rd lag time constant |
|
T7 |
Seconds |
Filter lead time constant |
|
T8 |
Seconds |
Filter lag time constant |
|
T9 |
Seconds |
Freq branch time constant |
|
T10 |
Seconds |
Power branch time constant |
|
TW1 |
Seconds |
1st freq branch washout time constant |
|
TW2 |
Seconds |
2nd freq branch washout time constant |
|
TW3 |
Seconds |
1st power branch washout time constant |
|
TW4 |
Seconds |
2nd power branch washout time constant |
|
K1 |
Seconds |
Main PSS gain |
|
K2 |
Seconds |
1st power branch gain |
|
K3 |
Seconds |
2nd power branch gain |
|
VMax |
Seconds |
PSS output max |
|
VMin |
Seconds |
PSS output min |
|
M |
Seconds |
M |
|
N |
Seconds |
N |