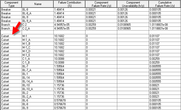
Show Minimal Cut-sets

You can show the minimal cut-sets after you perform a reliability evaluation. A cut-set is a set of components whose failure alone causes a system failure. You can review the cut-set information to see more detail as to how EasyPower calculated the reliability analysis.

To do this:

  1. Click the arrow under the Reliability button, and then click Reliability Evaluation.
  2. Select the redundancy you want to analyze, and then click Start.
  3. Right-click on a row in the evaluation list, and then click Show minimal cut-sets.
  4. The cut-sets appear at the bottom of the report.

More Information