教程:可靠性

本教程介绍如何使用EasyPower中的可靠性特性可靠性为您提供了量化电力系统网络停机的可靠性、可用性和成本影响的工具。

打开可靠性示例数据库

EasyPower包括几个示例文件,它们对应于IEEE 493-2007“金书”示例中的示例。你可以在 c:users\{用户名}\Documents\EasyPower 11.0\Onelines\ sample \Reliability.中可以找到这些文件。

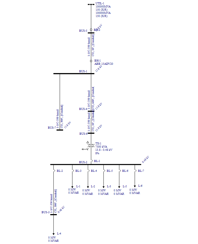
对这个例子,打开 Reliability IEEE493 Example 1_page37.dez.

这个示例复制了Gold Book中的示例1,这是一个只有一个源的简单径向系统。

输入可靠性数据

EasyPower安装附带了一个可靠性库,其中包括来自IEEE 493-2007 Annex q的数据。您可以将该数据导入到单线图中,从而轻松地使用可靠性数据填充您的设备和设备。

要导入可靠性数据:

  1. 可靠性 按钮下,单击 导入可靠性数据.
  2. 将可靠性数据导入设备对话框中,可以选择要从中导入可靠性数据的库(如果有自定义库,则包括自定义库)。您还可以选择覆盖任何现有的可靠性信息。确保 IEEE 493-2007 Annex Q 被选择.对于本教程,选择Overwrite existing reliability metrics复选框,然后单击导入.
  3. 将显示一条消息,告诉您更新了多少条记录。点击确定

查看和编辑可靠性数据

有两个地方可以查看和编辑数据。第一个是在单独的数据对话框中。例如,如果您打开断路器BH-1的数据对话框并单击可靠性选项卡,您可以看到断路器的可靠性数据。

提示: 您还可以在“数据”对话框中单击 导入 ,将数据导入到各个设备项。

你可以手动输入文字用于国际保护代码您还可以选择在出现故障时采取的主要操作是修复还是替换项。您可以输入修理或更换的费用。

可靠性数据视图

可以查看和编辑数据的另一种方法是在可靠性数据视图中。

  1. 可靠性按钮,请单击可靠性数据库视图.
  2. 您可以在可靠性数据库视图中执行批量编辑.例如,我们假设每个项目的平均修复成本是5000美元。(显然,这不是一个实际的例子,但是您将使用的编辑方法是相同的。)对于第一辆母线,在修理费单元中输入5,000。离开单元格保存您的编号,然后右键单击单元格并单击复制单元格.。
  3. 修复成本列中选择剩余单元格,然后按CTRL+V将第一个单元格值粘贴到所有剩余单元格。
  4.  :

    注意,您所做的更改将立即自动保存。

  5. 关闭 可靠性数据库视图.

定义系统成本影响

EasyPower包含一个表,用于确定每个事件的平均中断成本。此表复制表3-18中IEEE 493-2007标准中的信息。您可以选择与您的情况最匹配的业务类型,或者您可以使用最右侧的列来输入您自己的数字。

要打开该表,单击 可靠性 >定义系统成本影响.

执行系统可靠性评估

在导入库数据或手动输入可靠性信息之后,可以执行可靠性评估。进行评估:

  1. 然后,单击 可靠性 按钮下面的箭头,并单击可靠性评估.
  2. 要求您从一阶、二阶或三阶冗余中进行选择。对于这个系统,我们将选择一阶,然后单击 开始.
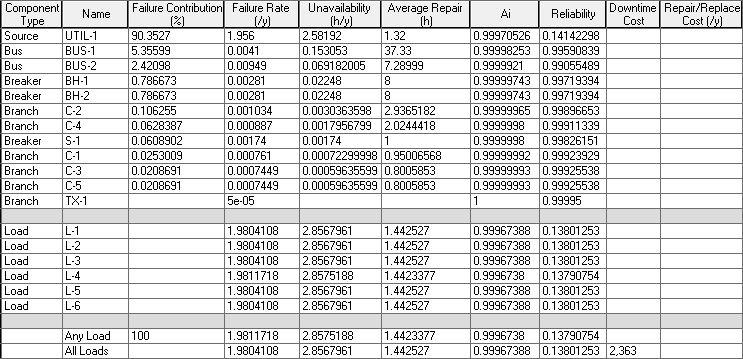
  3. 程序显示 系统可靠性评估报告。单独的组件连同分支和加载信息一起列出。报告底部的行显示任意或所有负载的结果。

Pareto图

您可以在可靠性评估结果上显示Pareto图表。有几个图表可用。要查看帕累托图,在运行可靠性评估之后,单击 帕累托图.

该程序显示几个可用报告中的一个。从列表中选择 失败贡献%故障贡献率报告显示,在考虑所有潜在情况时,对故障贡献率最高的设备是电网。下一个对失败率影响最大的项目是BUS-1,依此类推。红线表示总累积百分比,因此UTIL-1占总百分比的90.4%,UTIL-1与BUS-1的比值为95.7%,依此类推。

您可以从显示故障贡献率、故障率、不可用性和平均修复时间的不同Pareto图表列表中选择。

结论

这是对EasyPower可靠性特性的一个简要概述。EasyPower帮助主题更深入地涵盖了这些特性和其他特性。要打开 帮助,请单击EasyPower窗口右上角的“帮助”或按F1。

更多信息