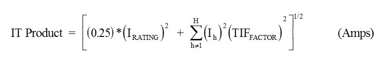
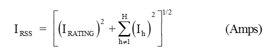
Os resultados das correntes nos ramos são obtidas através dos botões ITHD, IRSS, e Produto IT. Os cálculos são: