Tutorial - Confiabilidade
Este tutorial descreve como você pode usar o recurso de Confiabilidade no EasyPower. A Confiabilidade fornece as ferramentas para quantificar a confiabilidade, a disponibilidade e o impacto no custo do tempo de inatividade das redes do sistema de energia elétrica.
Abrir a base de dados de amostra de confiabilidade
O EasyPower inclui vários arquivos de amostra que correspondem aos exemplos no "Livro de ouro" da IEEE 493-2007. Os arquivos se encontram em C:\Users\{username}\Documents\EasyPower 10.6\Onelines\Samples\Reliability.
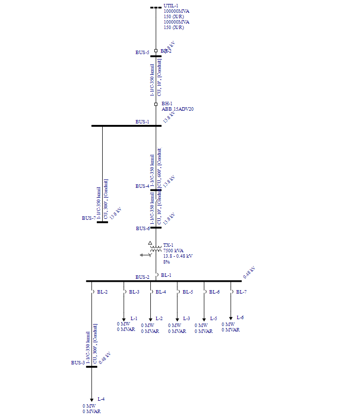
Para este exemplo, abra Reliability IEEE493 Example 1_page37.dez.
Esse exemplo replica o Exemplo 1 no Livro de ouro, que é um sistema radial simples com uma única fonte.
Importar dados de confiabilidade
A instalação do EasyPower vem com uma biblioteca de confiabilidade que inclui dados da IEEE 493-2007 Anexo Q. Você pode importar esses dados para o seu unifilar a fim de preencher facilmente seus equipamentos e dispositivos com dados de confiabilidade.
Para importar os dados da biblioteca de confiabilidade:
- No botão Confiabilidade, clique em Importar dados de confiabilidade.
- Na caixa de diálogo Importar dados de confiabilidade para equipamentos, é possível selecionar a biblioteca da qual deseja importar os dados de confiabilidade (incluindo uma biblioteca customizada, se houver). Você também tem a opção de substituir quaisquer informações de confiabilidade existentes. Confirme se IEEE 493-2007 Anexo Q está selecionada. Para este tutorial, marque a caixa de seleção Substituir as métricas de confiabilidade existentes e clique em Importar.
- O programa exibe uma mensagem indicando quantos registros foram atualizados. Clique em OK.
Exibir e editar dados de confiabilidade
Existem dois lugares onde você pode exibir e editar os dados. O primeiro está nas caixas de diálogo de dados individuais. Por exemplo, se você abrir a caixa de diálogo de dados do disjuntor BH-1 e clicar na guia Confiabilidade, você pode ver os dados de confiabilidade do disjuntor.
Dica: É possível clicar em Importar nas caixas de diálogo de dados para importar dados para equipamento individuais.
Você pode inserir dados manualmente para o equipamento ou importá-los. Você também pode selecionar se a ação principal a ser executada em caso de falha é reparar ou substituir o equipamento. Você pode inserir o custo do reparo ou substituição.
Exibição da base de dados de confiabilidade
O outro método onde você pode ver e editar os dados é a Exibição da base de dados de confiabilidade.
- No botão Confiabilidade, clique em Exibição da base de dados de confiabilidade.
- Você pode realizar edições em massa na Exibição da base de dados de confiabilidade. Por exemplo, vamos supor que o custo médio de reparo para cada equipamento seja de US$ 5.000. (Obviamente, esse não é um exemplo realista, mas o método que você usará para editar será o mesmo.) Para a primeira barra, na célula Custo de reparo, digite 5.000. Saia da célula para salvar seu número e, depois, clique com o botão direito do mouse na célula e clique em Copiar células.
- Selecione as células restantes na coluna Custo de reparo e pressione CTRL+V para colar o valor da primeira célula em todas as células restantes.
- Feche a Exibição da base de dados de confiabilidade.
:
Observe que as alterações feitas são salvas imediata e automaticamente.
Definição dos impactos de custo do sistema
O EasyPower inclui uma tabela para determinar o custo médio de interrupção para cada evento. Essa tabela replica as informações encontradas na norma IEEE 493-2007 na Tabela 3-18. Você pode selecionar o tipo de negócio que mais se aproxima da sua situação ou usar a coluna da extrema direita para inserir seus próprios números.
Para abrir a tabela, clique em Confiabilidade > Definir impactos de custo do sistema.
Realização de avaliação de confiabilidade
Depois de importar os dados da biblioteca ou inserir manualmente as informações de confiabilidade, você pode realizar uma avaliação de confiabilidade. Para realizar a avaliação:
- No botão Confiabilidade, clique em Avaliação de confiabilidade.
- É solicitado que você selecione uma redundância de 1ª, 2ª ou 3ª ordem. Para esse sistema, vamos selecionar 1ª ordem e clicar em Iniciar.
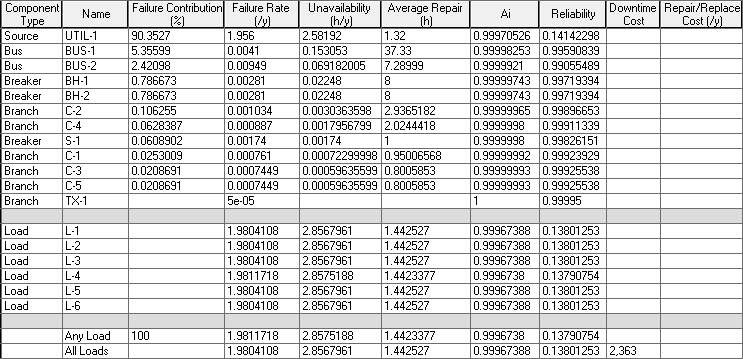
- O programa exibe os resultados da avaliação. Os componentes individuais são listados junto com as informações de ramo e carga. As linhas na parte inferior do relatório exibem os resultados de uma ou de todas as cargas.
Gráficos de Pareto
Você pode exibir gráficos de Pareto nos resultados da avaliação de confiabilidade. Estão disponíveis vários gráficos. Para exibir um gráfico de Pareto, depois de executar uma avaliação de confiabilidade, clique em Gráfico de Pareto.
O programa exibe um dos vários relatórios disponíveis. Selecione % de contribuição para a falha na lista. O relatório % de contribuição para a falha mostra que, quando você leva em consideração todas as circunstâncias potenciais, o equipamento que tem a maior porcentagem de contribuição para a falha é a concessionária. O próximo item que mais contribui para a porcentagem de falha é BUS-1 e assim por diante. A linha vermelha indica a porcentagem geral acumulada, então UTIL-1 é 90,4% do total, UTIL-1 com BUS-1 é 95,7% do total e assim por diante.
Você pode selecionar em uma lista de diferentes gráficos de Pareto que exibem resultados de % de contribuição para a falha, taxa de falhas, indisponibilidade e tempo médio de reparo.
Conclusão
Essa foi uma breve visão geral do recurso Confiabilidade do EasyPower. Os tópicos da Ajuda do EasyPower tratam desse e de outros recursos de forma mais aprofundada. Para abrir a Ajuda, clique em
Ajuda no canto superior direito da janela do EasyPower ou pressione F1.