Realização de avaliação de confiabilidade

Você pode realizar uma avaliação de confiabilidade para gerar um relatório e gráficos de Pareto sobre a confiabilidade do seu sistema.

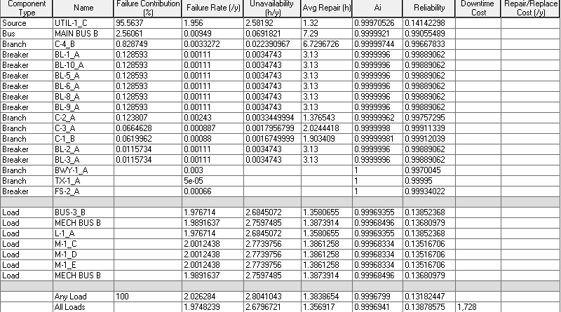
  • O relatório fornece detalhes sobre a contribuição de falha, taxa de falha anual, indisponibilidade anual, horas de reparo, confiabilidade inerente (Ai), confiabilidade e impacto de custo de tempo de inatividade para cada equipamento, juntamente com um total geral para cada uma dessas categorias. O total reflete a confiabilidade do sistema em base anual.
  • Os gráficos fornecem uma representação gráfica da contribuição de falha, taxa de falha, indisponibilidade e tempo médio de reparo.

Nota: Primeiro, você deve importar os dados de confiabilidade ou inserir os dados manualmente antes que a avaliação possa ser realizada. Veja Importação dos dados de confiabilidade e Inclusão manual de dados de confiabilidade para maiores informações.

Para realizar uma avaliação de confiabilidade:

  1. Clique na seta abaixo do botão Confiabilidade e, depois, em Avaliação de confiabilidade.
  2. Na caixa de diálogo Avaliação de confiabilidade, você pode especificar a redundância do equipamento a analisar. Se você tiver apenas um caminho de circuito da fonte à carga, uma redundância de 1ª ordem é suficiente. Para dois ou mais caminhos de circuito da fonte à carga, selecione 2ª ou 3ª ordem. Uma redundância de 3ª ordem leva mais tempo para analisar, mas fornece uma análise mais precisa.
  3. Você também pode especificar se deve considerar chaves e dispositivos abertos ao avaliar a redundância. Isso controla se chaves ou dispositivos abertos e seus componentes a jusante são incluídos na avaliação de confiabilidade. O padrão é excluí-los.

    Selecione as opções que deseja usar e clique em Iniciar.

  4. O programa também cria um relatório Avaliação de confiabilidade.

Depois de realizar a avaliação, você pode gerar gráficos de Pareto para avaliação adicional. Veja Gráficos de Pareto para maiores informações.

Veja também: Definições de carga.

Nota: Equipamentos desativados não são incluídos na avaliação.

Métodos adicionais

Como alternativa, você pode fazer um dos seguintes para realizar uma avaliação:

  • Clique com o botão direito do mouse em uma área em branco do unifilar e clique em Confiabilidade > Avaliação de confiabilidade.
  • Figura 1: Avaliação de confiabilidade do sistema na exibição de unifilar

  • Na Exibição da base de dados de confiabilidade, clique com o botão direito do mouse em uma linha e clique em Avaliação do sistema.
  • Figura 2: Avaliação de confiabilidade do sistema na Exibição da base de dados de confiabilidade

Avaliação de vários itens no unifilar

Você também pode selecionar itens individuais para que a avaliação seja executada apenas nos itens selecionados.

  1. Selecione os itens no unifilar como faria normalmente. Depois, clique com o botão direito do mouse em uma área em branco do unifilar e clique em Confiabilidade > Avaliação de confiabilidade.
  2.  :

    Nota: Você deve selecionar um ponto de carga, como motor, carga, barra, CCM, lista de cargas do quadro, capacitor, derivação ou transformador zigue-zague.

  3. Selecione a redundância e clique em Iniciar.
  4. O EasyPower exibe a confiabilidade dos componentes selecionados.

Informações Adicionais