Usted está aquí: Estabilidad dinámica > Parámetros de estabilidad dinámica > Modelos de estabilizador de sistemas de potencia

Modelos de Estabilizador de sistema de potencia

Se escriben modelos del estabilizador de sistema de potencia en la pestaña Estabilidad 2 (Stability 2) del cuadro de diálogo Datos de generador (Generator Data).

IEEE PSS2B

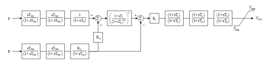
Figura 1: Diagrama de bloques del modelo IEEE Tipo PSS2B

Parámetro

Unidades

Descripción

T1

Segundos

Primera constante de adelanto de tiempo

T2

Segundos

Primera constante de retardo de tiempo

T3

Segundos

Segunda constante de adelanto de tiempo

T4

Segundos

Segunda constante de retardo de tiempo

T5

Segundos

Tercera constante de adelanto de tiempo

T6

Segundos

Tercera constante de retardo de tiempo

T7

Segundos

Constante de adelanto de tiempo del filtro

T8

Segundos

Constante de retardo de tiempo del filtro

T9

Segundos

Constante de tiempo de ramal de frecuencia

T10

Segundos

Constante de tiempo de ramal de potencia

TW1

Segundos

Constante de tiempo de lavado del primer ramal de frecuencia

TW2

Segundos

Constante de tiempo de lavado del segundo ramal de frecuencia

TW3

Segundos

Constante de tiempo de lavado del primer ramal de potencia

TW4

Segundos

Constante de tiempo de lavado del segundo ramal de potencia

K1

Segundos

Ganancia del Estabilizador de sistema de potencia primario

K2

Segundos

Ganancia del primer ramal de potencia

K3

Segundos

Ganancia del segundo ramal de potencia

VMax

Segundos

Salida máxima del Estabilizador de sistema de potencia

VMin

Segundos

Salida mínima del Estabilizador de sistema de potencia

M

Segundos

M

N

Segundos

N

Información Mayor

Estabilidad dinámica  
Parámetros de estabilidad dinámica  
     

www.easypower.com

EasyPower, LLC

7730 SW Mohawk St.

Tualatin, OR 97062

(503)655-5059

techsupport@easypower.com

feedback@easypower.com

EasyPower Versión 9.7

Derechos de autor © 1991-2016 EasyPower, LLC. Todos los derechos reservados.

Ayuda fue actualizada el 2/3/2016